注册
登录
搜索
标签
帮助
BBS
»
文学殿堂
» 六年级的作文《第一次暗恋》
‹‹ 上一主题
|
下一主题 ››
发新话题
发布投票
发布商品
发布悬赏
发布活动
发布辩论
发布视频
打印
六年级的作文《第一次暗恋》
游客
X.X.X.X
未注册
1楼帖子
大
中
小
发表于 2019-4-22 11:06
六年级的作文《第一次暗恋》
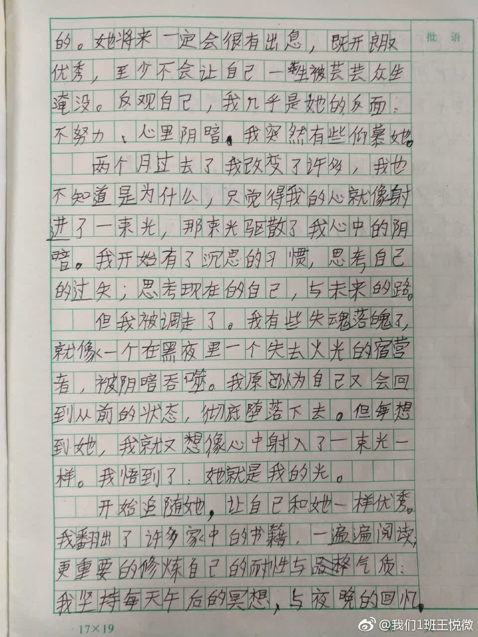
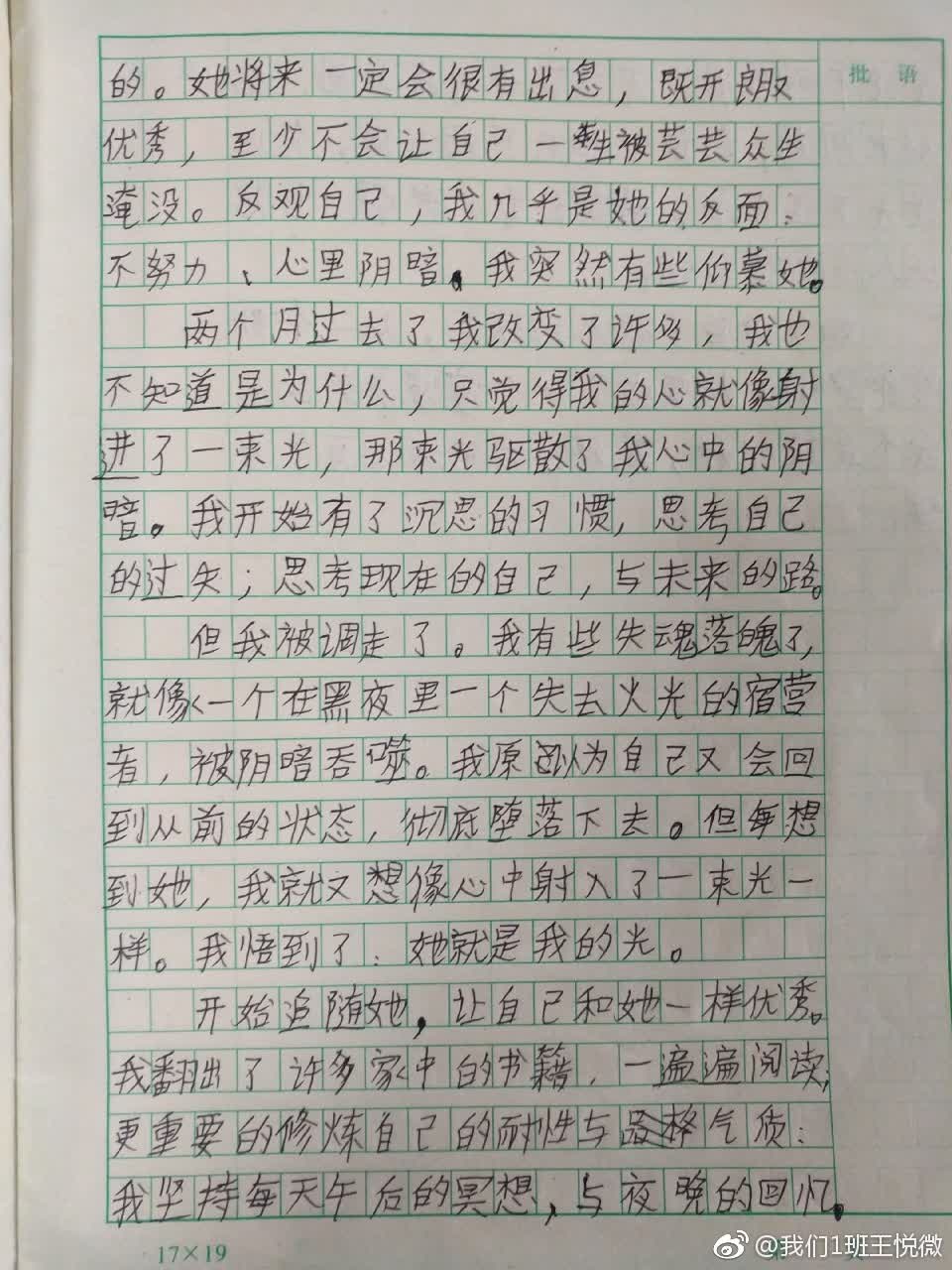
@我们1班王悦微:单元作文《第一次***》,小邵交上来的作文是《第一次奋进》。仔细读完,嗯……明明是《第一次暗恋》嘛。我还琢磨了一下文中的女孩是谁[哈哈](本文经小邵授权发布)
@堪破三春景不长:“我在班上就像一个人记忆中一个被遗忘的角落,陪伴我的只有窗外的云。” “我有些失魂落魄了,就像一个在黑暗里失去光的宿营者,被阴暗吞噬。但每想到她,我就又想象心中射入了一道光一样。我悟到了,她就是我的光。”
01_new.jpg
(121.01 KB)
2019-4-22 11:06
02_new.jpg
(127.47 KB)
2019-4-22 11:06
03_new.jpg
(97.02 KB)
2019-4-22 11:06
引用
回复
TOP
游客
X.X.X.X
未注册
2楼帖子
大
中
小
发表于 2019-4-22 14:55
[104] [104]
引用
回复
TOP
‹‹ 上一主题
|
下一主题 ››
查看积分策略说明
快速回复主题
选项
禁用 URL 识别
禁用
表情
禁用
Discuz!代码
使用个人签名
接收新回复邮件通知
标题
内容
发表帖子
[完成后可按 Ctrl+Enter 发布]
预览帖子
恢复数据
清空内容
最近访问的版块 ...
科学、生活、常识、益智
旅游、摄影、美图、壁纸
影视歌漫画书画发布区
时事新闻专区
BBS
xnote.cn交流专区
旅游、摄影、美图、壁纸
文学殿堂
科学、生活、常识、益智
时事新闻专区
影视歌漫画书画发布区
电脑、手机、平板知识专栏