注册
登录
搜索
标签
帮助
BBS
»
科学、生活、常识、益智
» 如果把全世界的蚊子都揉成一个球能有多大?
‹‹ 上一主题
|
下一主题 ››
发新话题
发布投票
发布商品
发布悬赏
发布活动
发布辩论
发布视频
打印
如果把全世界的蚊子都揉成一个球能有多大?
游客
X.X.X.X
未注册
1楼帖子
大
中
小
发表于 2025-9-29 11:06
如果把全世界的蚊子都揉成一个球能有多大?
并没有多大。
这个球,半径小则 38.45 米,大则 384.5 米。
如果化身成一只巨大的蚊子,小则相当于一艘航空母舰。
2.jpg
(19.5 KB)
2025-9-29 11:06
大则相当于数艘航空母舰。
3.jpg
(39.11 KB)
2025-9-29 11:06
以下是分析和计算过程:
计算蚊子的总质量,需要单只蚊子的平均重量,以及总蚊子个数。
蚊子平均重量比较好预估。
典型成年蚊子湿重约 2~2.5mg[1],最大种类可达 10mg。
4.jpg
(15.17 KB)
2025-9-29 11:06
考虑到蚊子体型,以典型大小为主。
平均重量预估为 2.5mg。
要预估蚊子的总数,就不容易了。
加拿大科普作家蒂莫西?瓦恩加德(Timothy C. Winegard)在其创作的书籍《命运之痒 / 蚊子如何塑造人类历史 The Mosquito: A Human History of Our Deadliest Predator》中,给出的蚊子总数预估是 1.1×10^14 只,也即 110 万亿只。
而其它也有预估总数为 10^15 只的,也即 1 千万亿只?[2]。
5.jpg
(15.42 KB)
2025-9-29 11:06
世界上蚊子种类最多的一些国家
reddit 上,有人通过费米估算(Fermi Estimation),得到的数据则是 7×10^16 只,也即 7 亿亿只?[3]。
一篇基因灭蚊的文献综述,不仅引用了这个数据,还给出了一个更高的数据?[4]:
10^17 只,也即 10 亿亿只。
6.jpg
(54.13 KB)
2025-9-29 11:06
考虑到科普作家瓦恩加德给出的数据也仅仅是预估,我们不妨以为 100 万亿作为蚊子总数的下限。
那么,蚊子总数范围则为:
100 万亿~10 亿亿只(10^14~10^17)。
二者相差了三个数量级。
可得,世界上蚊子的总重量:轻则 2.5 亿 kg,重则 2500 亿 kg。
对于数据不敏感的,我们可以和人类进行对比。
如果人类按照平均 60kg 体重、总人口 80 亿来算,总重量接近 5000 亿 kg。
蚊子重量上限,为人类的一半左右。
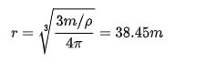
昆虫的组织密度略微大于水,为 1.05g/cm^3,也即 1050kg/m^3[5]。
世界上所有蚊子,压实揉成一个球,这个球最小半径为:
7.jpg
(9.83 KB)
2025-9-29 11:06
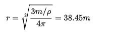
体积是半径的三次方关系,蚊子总重量上限与下限相差了三个数量级,则半径上限与下限相差了一个数量级。
那么,世界上所有蚊子揉成一个球,最大半径为:
384.5m
这样我们就得出了蚊子球半径大小为 38.45~384.5m。
如果我们要给出一个比较明确的数字,考虑到各种预估偏差,个人认为半径 100m 左右,会接近实际数据。
也即直径 200m,比一个标准 400m 周长跑道的操场略大一些。
8.jpg
(44.65 KB)
2025-9-29 11:06
一只 2.5mg 的蚊子,长度大约 5mm,大约相当于单只蚊子压实后半径的 6 倍左右。
那么,世界上所有蚊子如果化身成一个大蚊子,长度大致范围为:
230~2300m。
航空母舰的长度大约在 300 米左右。
也就是说,这样的一只大蚊子,如果是趴在海上的话。
要么,相当于一艘航空母舰。
9.jpg
(22.05 KB)
2025-9-29 11:06
要么,相当于一个舰队。
10.jpg
(21.1 KB)
2025-9-29 11:06
很多人想象不到航母有多大,我们依旧可以和操场进行对比。
标准操场的长度要求是不短于 177.48 米,而航母通常比标准操场长 50% 左右。
如果世界上的蚊子,真的化身成了一只蚊子,我们与它开战的场景是这样的:
11.jpg
(34.6 KB)
2025-9-29 11:06
这样的蚊子,虽然看起来可怕,但反而更容易消灭得多…… 得多……
来源:知乎日报
引用
回复
TOP
‹‹ 上一主题
|
下一主题 ››
查看积分策略说明
快速回复主题
选项
禁用 URL 识别
禁用
表情
禁用
Discuz!代码
使用个人签名
接收新回复邮件通知
标题
内容
发表帖子
[完成后可按 Ctrl+Enter 发布]
预览帖子
恢复数据
清空内容
最近访问的版块 ...
电脑、手机、平板知识专栏
旅游、摄影、美图、壁纸
文学殿堂
时事新闻专区
影视歌漫画书画发布区
BBS
xnote.cn交流专区
旅游、摄影、美图、壁纸
文学殿堂
科学、生活、常识、益智
时事新闻专区
影视歌漫画书画发布区
电脑、手机、平板知识专栏