引用 回复 TOP
高级会员
查看详细资料
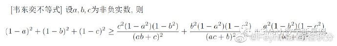
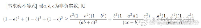
比面可以加个哥字
注册会员
原帖由 Guest from 86.48.128.x 于 2021-6-1 11:25 发表 厉害厉害!很高兴看到我们国家出了很多这样的天才,中国科学的未来就靠你们了[12]
原帖由 Guest from 86.36.38.x 于 2021-6-2 08:45 发表 这个只是个例而已,我国人是很多但我个人觉得还远远没到人才济济的地步咯
游客
禁用 URL 识别
禁用 表情
禁用 Discuz!代码
使用个人签名
接收新回复邮件通知
内容
发表帖子[完成后可按 Ctrl+Enter 发布] 预览帖子 恢复数据 清空内容